Forum de mathématiques - Bibm@th.net
Vous n'êtes pas identifié(e).
- Contributions : Récentes | Sans réponse
#1 28-07-2022 07:27:45
- Bernard-maths
- Membre Expert
- Lieu : 34790 Grabels
- Inscription : 18-12-2020
- Messages : 1 732
Les Affinités Géométriques, simples rappels et extensions
Bonjour à tous !
Comme nous avons eu des discussions sur la transformation d'un cercle en ellipse, je vais ici vous rappeler / apprendre simplement, ce qu'on appelle affinité géométrique, d'abord dans le plan, puis quelques extensions dans l'espace.
A - Commençons dans le plan :
1°) Définition : Etant données deux droites sécantes du plan (OI) et (OJ), on appelle affinité (affine) d’axe (OI), de direction (OJ), et de rapport k, réel, la transformation du plan qui à tout point M fait correspondre le point M’ tel que : si H est l’intersection de (OI) avec la parallèle à (OJ) menée par M, alors Vecteur(HM') = k Vecteur(HM).
Remarquons : Si H est la projection de M sur (OI) parallèlement à (OJ), alors M’ est l’image de M par l’homothétie de centre H et rapport k.
On peut constater que les points de l’axe de base (OI) sont invariants (pour k = 0), et que les points de la direction (OJ) ont leurs images sur (OJ) par l’homothétie (O, k). Donc la restriction de l’affinité à son axe de base (OI) est l’identité de (OI) : Id(OI) ; la restriction à son axe de direction (OJ) est l’homothétie de centre O et rapport k.
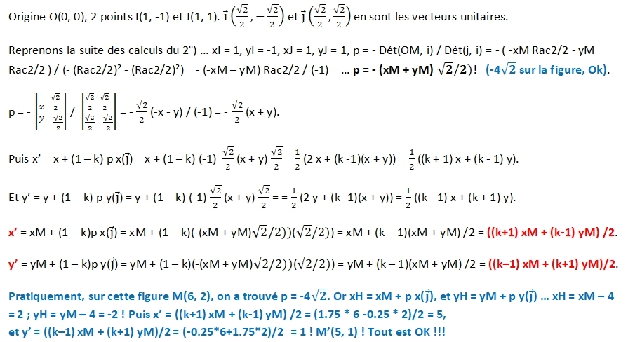
2°) Expression analytique :
On suppose connues les coordonnées des points O, I et J dans un repère orthonormé du plan ... repère qui n'a rien à voir avec (O, I, J) !
3°) Cas pratique courant : affinité orthogonale d’un repère orthonormé.
(O, i, j) ou (O, I, J) est un repère orthonormé du plan. L’affinité a (x’x) pour axe, (y’y) pour direction, k réel pour rapport.
4°) Exemple d’axes en biais à ±45° :
5°) Exemple d’image d’un cercle :
Par contre je n'ai pas cherché l'équation "directement" encore, donc vous avez un exo à chercher !!!
Pour le plan, Bernard-maths
Dernière modification par Bernard-maths (28-07-2022 10:10:14)
Ma philosophie est immuable : l'immobilisme tue ...
Les Anciens ont trouvé le plus facile ... il nous reste le plus dur !
Hors ligne
#2 28-07-2022 12:55:02
- Bernard-maths
- Membre Expert
- Lieu : 34790 Grabels
- Inscription : 18-12-2020
- Messages : 1 732
Re : Les Affinités Géométriques, simples rappels et extensions
Bonjour à tous ! Tous les bricoleurs habituels, ou autres ?
Avez-vous des questions ? Des idées à émettre ? Des exercices à chercher / proposer ? ...
Outre l'exo 1 d'équation directe de l'ellipse ci-dessus, voici un exo 2 : que penser de la composition de 2 affinités de rapport k, en échangeant les rôles des 2 axes ?
Bernard-maths
Dernière modification par Bernard-maths (28-07-2022 12:55:31)
Ma philosophie est immuable : l'immobilisme tue ...
Les Anciens ont trouvé le plus facile ... il nous reste le plus dur !
Hors ligne
#3 28-07-2022 17:51:18
- Zebulor
- Membre expert
- Inscription : 21-10-2018
- Messages : 2 213
Re : Les Affinités Géométriques, simples rappels et extensions
Hello !
j'ai une équation : $3^2x^2+4^2y^2=324=18^2$.. ça serait pas celle de ta parabole en bleu dans le repère (i,j) ?
Dernière modification par Zebulor (28-07-2022 17:54:10)
En matière d'intégrales impropres les intégrales les plus sales sont les plus instructives.
Hors ligne
#4 28-07-2022 17:52:26
- Bernard-maths
- Membre Expert
- Lieu : 34790 Grabels
- Inscription : 18-12-2020
- Messages : 1 732
Re : Les Affinités Géométriques, simples rappels et extensions
Bonsoir à Zebulor !
Une équation telle que eqZ: 9x² + 16y² = 324 donne la courbe rouge, et non la bleue ... qui est une ellipse.
Les dimensions sont bonnes. Y'a plus qu'à tourner de 45° ...
Cordialement, Bernard-maths
Dernière modification par Bernard-maths (28-07-2022 17:57:48)
Ma philosophie est immuable : l'immobilisme tue ...
Les Anciens ont trouvé le plus facile ... il nous reste le plus dur !
Hors ligne
#5 28-07-2022 17:55:07
- Zebulor
- Membre expert
- Inscription : 21-10-2018
- Messages : 2 213
Re : Les Affinités Géométriques, simples rappels et extensions
Bonsoir Bernard,
J'ai bien précisé dans le repère (i,j)..obtenu à partir de l'équation :$25x^2+14xy+25y^2=648$ moyennant des changements de variable
Dernière modification par Zebulor (28-07-2022 17:57:53)
En matière d'intégrales impropres les intégrales les plus sales sont les plus instructives.
Hors ligne
#6 28-07-2022 18:00:29
- Bernard-maths
- Membre Expert
- Lieu : 34790 Grabels
- Inscription : 18-12-2020
- Messages : 1 732
Re : Les Affinités Géométriques, simples rappels et extensions
Hello l
Trop facile, mais juste alors ! On reste dans le repère quadrillé de GeoGebra, faut la tourner !!!
Et du coup, c'est bien 25 x² + 14 xy + 25 y² =648, qui est la bonne ...
Dernière modification par Bernard-maths (28-07-2022 18:04:07)
Ma philosophie est immuable : l'immobilisme tue ...
Les Anciens ont trouvé le plus facile ... il nous reste le plus dur !
Hors ligne
#7 28-07-2022 18:38:56
- Zebulor
- Membre expert
- Inscription : 21-10-2018
- Messages : 2 213
Re : Les Affinités Géométriques, simples rappels et extensions
Re,
25 x² + 14 xy + 25 y² =648,
dont le discriminant (ce que je viens d'apprendre) est $25*25-14^2/4$ (plus généralement $ac-b^2/4$) est positif, signifiant que c'est bien l'équation d'une ellipse..
Dernière modification par Zebulor (28-07-2022 18:40:24)
En matière d'intégrales impropres les intégrales les plus sales sont les plus instructives.
Hors ligne
#8 28-07-2022 20:00:56
- Bernard-maths
- Membre Expert
- Lieu : 34790 Grabels
- Inscription : 18-12-2020
- Messages : 1 732
Re : Les Affinités Géométriques, simples rappels et extensions
Hello Zebulor !
Si je propose des exos, c'est pour se distraire, et voir les différentes méthodes utilisables ! Je ne connais point ce discriminant, d'où le tiens-tu ?
Perso, j'y suis allé en me basant sur l'équation : x²/a² + y²/b² = 1, correspondant aux droites y=0 et x=0. Mais à 45° les droites sont x+y=0 et x-y=0, pour respectivement b=6 et a=4.5; De plus en biais à 45°, il faut prendre (x+y)/Rac(2) et (x-y)/Rac(2) pour normer ... d'où l' équation :
(x+y)²/Rac(2)²/b² + (x-y)²/Rac(2)²/b² = 1, soit : (x+y)²/(2b²) + (x-y)²/(2a²) = 1 ... a²(x+y)² + b²(x-y)² = 2 a² b².
Et finalement : 36 (x+y)² + 20.25 (x-y)² = 40.5 * 36 ! Après "simplification" : 16 (x+y)² + 9 (x-y)² = 18 * 36, en développant :
25 x² + 14 xy + 25 y² = 648. C'est pareil !!!
Merci pour ton intervention, bonne nuit,
Bernard-maths
Dernière modification par Bernard-maths (28-07-2022 20:03:51)
Ma philosophie est immuable : l'immobilisme tue ...
Les Anciens ont trouvé le plus facile ... il nous reste le plus dur !
Hors ligne
#9 29-07-2022 08:21:43
- Zebulor
- Membre expert
- Inscription : 21-10-2018
- Messages : 2 213
Re : Les Affinités Géométriques, simples rappels et extensions
Salut Bernard !
Je ne connais point ce discriminant, d'où le tiens-tu ?
En matière d'intégrales impropres les intégrales les plus sales sont les plus instructives.
Hors ligne
#10 29-07-2022 09:07:54
- Bernard-maths
- Membre Expert
- Lieu : 34790 Grabels
- Inscription : 18-12-2020
- Messages : 1 732
Re : Les Affinités Géométriques, simples rappels et extensions
Salut Zebulor !
Merci ! Je me doutais qu'il devait y avoir du quadratique là derrière ...
Mais cela n'empêche pas de s'y mettre à l'huile de coude :-)
En cadeau : des ellipses consécutives déduites par similitudes tournantes de 45° à chaque fois.
On part du cercle bleu, à l'ellipse verte, à l'orange, à la mauve, la bleue, la violette ...
@ +, B-
Dernière modification par Bernard-maths (29-07-2022 09:08:12)
Ma philosophie est immuable : l'immobilisme tue ...
Les Anciens ont trouvé le plus facile ... il nous reste le plus dur !
Hors ligne
#11 29-07-2022 16:42:21
- Zebulor
- Membre expert
- Inscription : 21-10-2018
- Messages : 2 213
Re : Les Affinités Géométriques, simples rappels et extensions
re,
cette discussion me fait penser à un post de bridgslam qui n'avait pas eu de réponse :
En matière d'intégrales impropres les intégrales les plus sales sont les plus instructives.
Hors ligne
#12 29-07-2022 16:52:52
- Bernard-maths
- Membre Expert
- Lieu : 34790 Grabels
- Inscription : 18-12-2020
- Messages : 1 732
Re : Les Affinités Géométriques, simples rappels et extensions
Bonsoir Z !
J'ai du mal à comprendre la question : vocabulaire lointain pour moi ...
S'agit-il de savoir si 2 courbes "gentilles" du plan possèdent toujours une tangente commune ???
Merci de préciser, de donner un exemple si possible !
B-m
Ma philosophie est immuable : l'immobilisme tue ...
Les Anciens ont trouvé le plus facile ... il nous reste le plus dur !
Hors ligne
#13 29-07-2022 16:58:24
- Zebulor
- Membre expert
- Inscription : 21-10-2018
- Messages : 2 213
Re : Les Affinités Géométriques, simples rappels et extensions
Bonsoir Bernard,
je ne sais plus.. j'essaie de me replonger dans le sujet. Petite digression mais mais tu peux continuer sur ta lancée du post #10..
je viens de trouver ceci sur ce site :
https://www.bibmath.net/formulaire/inde … oi=conique
A un endroit il est question de $tan(2\theta)$, c'est intéressant..
Dernière modification par Zebulor (29-07-2022 17:04:06)
En matière d'intégrales impropres les intégrales les plus sales sont les plus instructives.
Hors ligne
#14 02-08-2022 09:48:20
- Bernard-maths
- Membre Expert
- Lieu : 34790 Grabels
- Inscription : 18-12-2020
- Messages : 1 732
Re : Les Affinités Géométriques, simples rappels et extensions
Bonjour à tous !
@ Zebulor, je poursuis en 3D vec quelques exemples simples !
B – Dans l’espace.
1°) Exemple 1 : Asseyons-nous sur un ballon …
L’espace est à 3 dimensions … pour prolonger ce qu’il se passe dans le plan, nous prendrons non plus un axe et une direction, mais un plan pour base et une direction ! Les points du plan sont invariants, ceux de la direction « subissent une homothétie » … Par exemple, dans un repère orthonormé (O, I, J, K), nous prendrons le plan (xOy) pour « base » et l’axe (z’z) pour direction orthogonale.
rose translucide, la sphère de rayon r, transformée par l’affinité en une surface bleue …
En
2°) Exemple 2 : Ballon de rugby pour un drop ? …
Ici la "base" est l'axe (z'z) des points invariants, le plan (xOy) subissant l'homothétie de centre O.
3°) Exemple 3 : Dans les 3 directions, un ellipsoïde quelconque …
Surface(r k' cos(v) cos(u), r k'' cos(v) sin(u), r k sin(v), v, -180°, 180°, u, 0°, 180°)
Les paramètres k* : k agit en z, k’ en x et k’’ en y. MAIS ce n’est plus une affinité !
4°) La commande Surface de GeoGebra :
GeoGebra « ne comprend pas » les formules simples … Pour tracer ces ellipsoïdes, j’ai pu par contre utiliser la commande « Surface ». La syntaxe en est de la forme :
Surface( <Expression x>, <Expression y>, <Expression z>, <Variable 1>, <Valeur Début 1>, <Valeur Fin 1>,
<Variable 2>, <Valeur Début 2>, <Valeur Fin 2> )
Où <Expression x> est une fonction décrivant les variations de l’abscisse x, en fonction de 2 paramètres (Variable 1 et 2) disons v et u, v variant de v1 à v2 > v1, et u de u1 à u2 > u1. Idem pour Expression y, pour y, et Expression z pour z.
J’ai choisi le paramétrage (connu) de Mathcurve : x = a cos(v) cos(u), y = a cos(v) sin(u), z = c sin(v) …
En parcourant le Net, vous trouverez des références variées sur l’affinité et les quadriques … !
Ellipsoïde sur Mathcurve, Wikipedia, etc …
@ plus ! Bernard-maths
Dernière modification par Bernard-maths (02-08-2022 12:54:14)
Ma philosophie est immuable : l'immobilisme tue ...
Les Anciens ont trouvé le plus facile ... il nous reste le plus dur !
Hors ligne




















